7月8日,公司周新平教授团队在液滴振动阻尼机理研究方面取得新进展,相关成果以“Wettability-Dependent Damping of Droplet Vibrations on Solid Surfaces(固体表面液滴振动的润湿性依赖阻尼特性)”为题,在线发表在物理学顶级期刊《物理评论快报(Physical Review Letters)》上。公司青年教师张飞为第一作者,周新平教授为通讯作者,合作者包括中国科学技术大学近代力学系特任副研究员张春雨、教授丁航等。值得一提的是,这项成果是永利3044noc在流体力学方向首次以第一/通讯单位在该期刊发表论文,也是公司第一篇以第一/通讯单位发表于该期刊的研究工作,标志着公司在流体力学基础研究国际前沿的重要突破。

液滴振动广泛存在于喷墨打印、喷雾冷却、微流控和防雾等众多应用中,振动的自然频率与粘性阻尼特性直接影响液滴稳定性和破碎行为。然而,附着在固体表面的液滴因受壁面效应影响,导致振动阻尼难以准确预测,特别是在不同润湿条件下,传统模型常因忽略液滴内部的体粘性耗散而出现明显偏差,成为液滴动力学领域的经典难题。针对上述挑战,团队基于粘性势流理论,发展了一个简洁的“双项近似”模型,首次将液滴内部的体粘性耗散与壁面粘性耗散同时纳入预测框架。研究表明,当液滴处于疏水表面时,由于与固体的接触面积显著减小,壁面粘性耗散减弱,液滴内部的体粘性耗散反而成为主导效应,从而解释了长期存在但尚未厘清的理论与实验观测差异(如下图)。通过系统性的实验与数值模拟工作,该理论得到了充分验证,为固液界面粘性耗散机理研究提供了新的认识。

左侧为疏水表面上的液滴(接触角大,形态更接近球冠),右侧为亲水表面上的液滴(接触角小,铺展更平)。理论和仿真结果表明,疏水液滴因壁面粘性耗散弱、体粘性耗散显著,其振动阻尼显著低于亲水液滴,振荡衰减更慢,证明了体粘性耗散在特定条件下不可忽略。

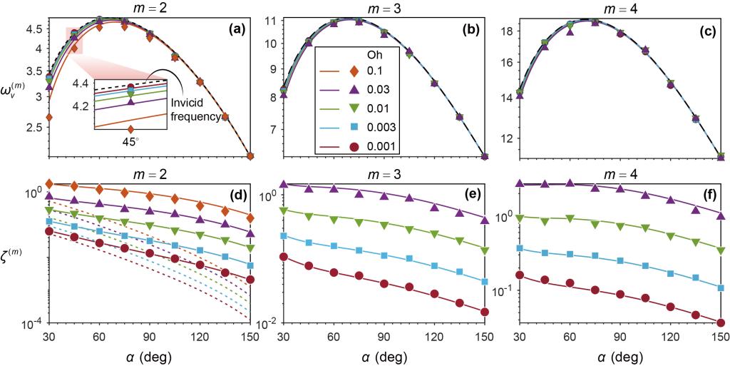
不同接触角条件下,液滴频率和阻尼随奥内佐格数(Ohnesorge number,Oh)变化的理论数据(曲线)和数值模拟结果(点)的对比,验证了双项近似模型的准确性。
本研究针对受限液滴所提出的“双项近似”模型,不仅弥补了传统近似模型的局限,还为小量液体粘度的快速、非接触式测量提供了新思路。例如,通过对液滴振动衰减速率的观测,可用于反演液体粘度,对微流控、生物医学及功能涂层等领域具有潜在应用前景。此外,研究结果还为设计高性能疏水或亲水表面和优化界面稳定性等提供了理论指导。
该研究团队近年来在液滴动力学及复杂多相流等研究方面持续取得重要进展,已在物理学顶级期刊《物理评论快报(Physical Review Letters)》、流体力学顶刊《流体力学期刊(Journal of Fluid Mechanics)》以第一作者或通讯作者身份发表论文22篇。
该研究工作得到了国家自然科学基金项目的资助支持。
论文链接:https://journals.aps.org/prl/abstract/10.1103/cml9-n6jh